Erinnern Sie sich an die Tage der Schulzeit zurück? Da war doch was mit Prozentrechnen und Zinsen … und gerade jetzt, wo doch die Zinsen so steigen, wär es sehr gut, dieses alte Wissen nochmals bei der Hand zu haben. Einfach um Kreditkonditionen nachzurechnen oder verschiedene Angebote zu vergleichen.
Also, raus mit den alten Schulbüchern und ab ins Kapitel „Zinsrechnung“, wir wollen uns heute dem Effektivzinssatz widmen.
Effektivzinssatz: Wofür soll das gut sein?
Der Effektivzinssatz ist jener, der neben den Zinsen auch sämtliche Kosten und Gebühren in einer Prozentzahl ausdrückt. Er zeigt jene Kosten, die wirklich zu bezahlen sind und den es heranzuziehen gilt, um Angebote zu Vollkosten zu vergleichen.
ZINSEN + GEBÜHREN + SPESEN = EFFEKTIVZINSSATZ
Verbrauchergeschäfte (B2C) im Finanzbereich müssen zusätzlich zum angebotenen Zinssatz auch den Effektivzinssatz ausweisen. Nicht immer ist dieser Zinssatz leicht zu finden. Im B2C Bereich ist er oft im Kleingedruckten ausgewiesen – im B2B-Bereich gibt es gar keine Verpflichtung diesen anzudrucken – da müssen Sie selbst rechnen.
Prozentrechnen – leicht gemacht
Und da kommen nun die guten alten Bekannten ins Spiel: Prozentrechnen und Zinsrechnen.

Zur Wiederholung: Prozentsatz ist Anteil durch Grundwert – diese Zahl ist eine Dezimale und muss mal 100 multipliziert werden, um eine %-Zahl zu erhalten. Die einfache Formel zur Zinsberechnung lautet: Zinsen sind Kapital (K) mal Zinssatz (P) mal Laufzeit (J in Jahren) dividiert durch 100.

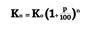
Wir sprechen aber oft von mehrjährigen Verzinsungen und Zinseszinsen, weshalb diese Formel ausschlaggebend ist.

Kn ist das Kapital nach n Jahren, weil die Zinsen selbst auch verzinst werden. Für Kreditzinsberechnungen müssen Sie das fallende Kapital berücksichtigen – hier gibt es glücklicherweise Tilgungsrechner im Internet, die kostenlos das gewünschte Ergebnis anzeigen.
Gesamtkosten des Kredits
Nun zurück zu dem Effektivzinssatz. Dieser Zinssatz drückt die Gesamtkosten des Kredits in einer Prozentzahl aus und ermöglicht so den direkten Vergleich verschiedener Angebote. Es gibt zwei Varianten der Berechnung – wir beschränken uns hier auf die gern verwendete Uniform-Methode:

So berechne ich meine Kreditkosten
Lassen Sie uns diese Formel mit einem Beispiel erklären. Wir haben ein geliehenes Kapital von € 3200,– mit einem Zinssatz von 2,5 % p.a., Die Rückzahlung beträgt 35 Raten zu je € 95,– und eine Rate am Ende zu € 125,– Wie hoch ist hier der Effektivzinssatz?
Zuerst berechnen wir die Kreditkosten
Rückzahlungsbetrag: € 3450,–
Bearbeitungsgebühr: € 240,–
Kontoführung: € 72,–
Buchungsentgelt: € 72,–
Gesamtrückzahlung: € 3834,–
Davon wird der Kreditbetrag abgezogen, somit betragen die Kreditkosten: € 634,–
Nun setzen wir diese Daten „einfach“ in die Formel ein:

In diesem Beispiel wäre also der Effektivzinssatz 12,85 % im Vergleich zum angegebenen Zinssatz von 2,5 %. In der Realität würden Sie vielleicht diesen Rückzahlungsmodalitäten „aus dem Bauch heraus“ nicht zustimmen, weil es Ihnen als zu hoch erscheint, aber für Argumentationszwecke ist die Berechnung des Effektivzinssatzes wirklich sehr hilfreich.
Machen Sie sich die Mühe und rechnen Sie bei jedem Angebot auch den Effektivzinssatz – Ihnen hilft es, zu sparen und Ihre Banken werden Sie lieben oder zumindestens sehen, dass Sie sich mit der Materie auskennen und kalkulieren können.
Autorin: Simona Nemetz
Ihre Rechenhilfe im Alltag
Der Effektivzinssatz ist einfach, gewusst wie – doch die Formeln und die Berechnungen sind im Trubel des Alltags nicht leicht zu merken. Hier können Sie sich die Seite downloaden und für alle Fälle in der Schreibtischlade griffbereit verstauen.
Wie berechnet man den Effektivzinssatz? Simona Nemetz erklärt!

Fachautorin Simona Nemetz © Beigestellt
Die Fachautorin Simona Nemetz, MA
studierte Lebensmittelproduktentwicklung an der FH Wieselburg.
Sie ist verantwortlich für Rechnungs- und Personalwesen sowie Marketing und Belange des Lebensmittelrechts bei der Nemetz-Fleisch HandelsgesmbH. Seit 2017 ist sie selbstständig als Unternehmensberaterin und Coach für die LMAk tätig. Zudem ist sie Fachbuchautorin für Berufsschulen und Fachautorin für das Fachmagazin Fleisch & Co